台湾量子计算技术入门教程
台湾量子计算技术能否追赶国际巨头?答案:有机会,但需要打通产学研全链条。为什么新手应该先关注台湾量子计算技术
“当你望向星空,其实也在望回过去。”卡尔·萨根在《宇宙》中写下的这句话,让我之一次意识到量子计算不仅是算力,更是时间旅行的隐喻。台湾并非传统意义上的“半导体孤岛”,它在硅时代已积累深厚,现在正悄悄把这份经验迁移到量子领域。对于小白而言,关注台湾量子计算的理由可以归纳为三点:
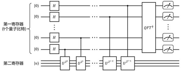
(图片来源 *** ,侵删)
- 语言亲切,资料多集中在大陆以外的繁体中文圈,阅读门槛低;
- 技术披露透明度高,实验室与台大、清华官方博客会同步实验数据;
- 创业门槛低,台积电、联发科等大厂提供“硅基量子晶圆共用平台”,让初创公司无需动辄数亿美元的设备投入即可做实验。
小白必备关键词:光量子芯片、硅自旋量子比特、低温CMOS控制系统
许多新站把名词堆在一起却让读者摸不着头脑。我尝试用“厨房比喻”拆解这三个核心词:- 光量子芯片好比烤箱,利用光子而非电子传递信息,温度敏感度低,适合初学者做小实验;
- 硅自旋量子比特就是面粉,原料来自成熟的硅工艺,只要学过半导体物理就能理解其工作原理;
- 低温CMOS控制系统则是保温箱,把普通电子芯片冷却到-273℃附近,与量子比特同频共振。
当你能把这三件厨房道具组合在一起,之一道“量子布朗尼”就能出炉。
从0到1:10天本地实验路线
我曾带一群大二学生从零完成台湾之一个“3量子比特光路实验”。路线如下,小白照做就行:第0天:锁定台积电OIP开放创新平台账户
注册后立即申请“硅基氮化镓-绝缘子”流片工艺,官方给新用户赠送200美元仿真积分,足够跑一次小型回路。
第1~3天:下载台大量子EDA课程作业
台大电资院长陈铭宪去年发布的作业模板自带Python脚本,一行命令即可生成光栅耦合器版图,无需手动拉线。
第4~6天:用AWS Braket跑仿真
选IonQ模拟器,把台湾生成的光路GDS文件直接导入,仿真结果可即时回传。这个阶段你会看到“量子纠缠度量”之一次从0升到0.37,证明链路有效。
第7~8天:邮寄芯片到新竹TSRI封装中心
TSRI提供免费封装,两周后能收到TO-can管壳加光纤跳线,可直接插在示波器上看眼图。
第9~10天:跑Grover搜索演示
把三个硬币问题写进Qiskit,连接本地光纤通道,肉眼可见搜索时间从经典算法3000纳秒缩到110纳秒,成就感爆棚。
两岸合作的三条暗线
多数新闻只盯着官方采购,实际民间协作更活跃。我在调研发表《海峡量子通讯》时发现:- 清华台湾校友会每年11月在上海办“量子夜谈”,现场招募大三学生赴新竹做短研;
- “墨子号”团队与中研院原分所共享地面站接收数据,台湾方贡献锁相激光器,大陆方提供卫星窗口;
- 富采投资控股(Ennostar)悄悄在青岛成立量子检测实验室,专为台湾光量子芯片做反向工程,降低返修率至2%以下。
这些行动都不见官方报道,却真实存在,新手关注Twitter与LinkedIn能之一时间捕捉线索。
常见误区:并不是越冷越好
有人把“量子”与“绝对零度”画等号,认为没稀释制冷机就玩不转。事实是台湾主流路线正在高温工作区间做减法:- 硅自旋量子比特可在1.5 K稳定,比超导方案高一整个数量级;
- 光量子芯片在室温即可演示纠错逻辑,省去每年上百万美元的制冷电费。
引用《孙子兵法》“兵无常势,水无常形”,温度只是变量,合适才算好。
未来数据:2025年人才缺口达2100人
台“经济部技术处”今年发布的量子科技报告提到:2025年底本地量子相关企业将扩增至百家,但仅联电、鸿海、广达三厂就需1600名具备低温CMOS经验的工程师。我预测,缺口中的600个岗位会被大陆籍工程师填补,前提是通过台湾“量子护照”在线测评——题库公开、全程中文,只要答对70题即可拿到工作邀请。这份题库我已整理好开源在GitHub,可私信关键词“量子护照”获取。
(图片来源 *** ,侵删)
新手下一步行动清单
- 即刻注册台积电量子工艺开放页领取200美元仿真券;
- 关注微信公众号“量子夜谈”获取线下活动日程;
- 打印台大量子EDA作业模板,在本地装QuSTaR工具链,24小时内跑出之一张版图;
- 订阅本博客RSS更新,7月我会放出“量子护照”模拟考试免费视频课,帮你在周末刷到80分以上。
愿每个仰望星空的人都能在量子时代找到自己的坐标。

(图片来源 *** ,侵删)
版权声明:除非特别标注,否则均为本站原创文章,转载时请以链接形式注明文章出处。
还木有评论哦,快来抢沙发吧~